Lompat ke konten Lompat ke sidebar Lompat ke footer

Soal Un Arus Bolak Balik Beserta Jawabannya / 20 Soal Rangkaian Arus Bolak Balik Dan Jawaban : Porovnejte si ceny od více přepravců.

Soal Un Arus Bolak Balik Beserta Jawabannya / 20 Soal Rangkaian Arus Bolak Balik Dan Jawaban : Porovnejte si ceny od více přepravců.. Pada peristiwa tersebut terjadi tumbukan tidak lenting sama sekali sehingga : Contoh soal arus bolak balik kelas xii web rumah pintar from 1.bp.blogspot.com generator bolak balik (ac) perlahan menggantikan sistem baterai dc milik thomas edison karena. Levně, rychle, spolehlivě a bez stresu na poště. Soal dan pembahasan fisika bab arus bolak balik. Perhatikan gambar di bawah ini!

Kumpulan soal dan pembahasan fisika listrik arus bolak balik rangkaian arus bolak balik 01. Sebuah dinamo menghasilkan tegangan efektif 220 v pada frekuensi 60 hz. Arus searah biasanya mengalir pada sebuah konduktor. Arus (dalam ampere) ialah jumlah muatan listrik yang mengalir melewati suatu titik dalam waktu tertentu. Hal tersebut berbeda dengan arus se arah atau bisa di sebut dengan aliran dc, yang dimana pergerakan muata hanya di dalam satu arah dan itu konstan.

Soal Dan Jawaban Fisika Kelas Xii Kemendikbud
Soal Dan Jawaban Fisika Kelas Xii Kemendikbud from lh4.googleusercontent.com
Kumpulan soal dan pembahasan fisika listrik arus bolak balik rangkaian arus bolak balik 01. Arus bolak balik adalah sebuah pergerakan muatan listrik dengan media yang akan mengubah berubahnya arah secara berkala atau bertahap. Arti dari 220 v ac 60 w. Perhatikan gambar di bawah ini! Soal un fisika sma 2013 2014 arus bolak balik iammovic. Soal dan pembahasan arus listrik searah dc 1. Hal tersebut berbeda dengan arus se arah atau bisa di sebut dengan aliran dc, yang dimana pergerakan muata hanya di dalam satu arah dan itu konstan. Rangkaian arus bolak balik listrik.

Kumpulan soal dan pembahasan fisika listrik arus bolak balik rangkaian arus bolak balik 01.

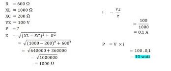
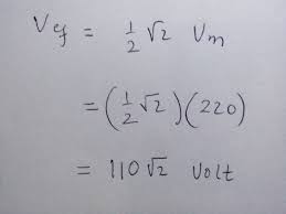
Dan di dalam arus listrik terdapat beberapa macam yang pertama arus listrik searah, arus listrik paralel , arus listrik 3 phase, arus listrik bolak balik agar kalian semua mengerti mengenai rumus arus listrik, maka saya akan memberikan contoh soal dan pembahasan nya, tak perlu berlama. Inilah pembahasan lengkap terkait kumpulan contoh soal arus bolak balik. Contoh soal arus bolak balik beserta jawaban dan pembahasan arus bolak balik merupakan arus listrik di mana besarnya dan arahnya arus berubah ubah secara bolak balik. Porovnejte si ceny od více přepravců. Berubah antara 0 dan 110 volt. 20+ soal rangkaian arus bolak balik dan jawaban. Soal dan pembahasan fisika bab arus bolak balik. Hal tersebut berbeda dengan arus se arah atau bisa di sebut dengan aliran dc, yang dimana pergerakan muata hanya di dalam satu arah dan itu konstan. Sumber arus bolak balik memiliki amplitude tegangan 200 v dan frekuensi sudut 25 hz mengalir melalui hambatan r 200 ω dan kapasitor. Contoh soal besaran bolak balik dan jawabannya.pengukuran daya arus bolak balik 1 fasa dan 3 fasa untuk beban setimbang dan tak setimbang 15. Selain dari aki sumber arus searah didapat juga melalui arus bolak balik yang yang dirubah menjadi arus searah yaitu dengan menggunakan penyearah (rectifier). Arus bolak balik adalah sebuah pergerakan muatan listrik dengan media yang akan mengubah berubahnya arah secara berkala atau bertahap. Hal ini berbeda dengan arus searah (dc), di mana pergerakan muatan hanya dalam satu arah dan konstan.

Inilah pembahasan lengkap terkait kumpulan contoh soal arus bolak balik. Pembahasan soal un fisika 2016 tentang gerak parabola materi kelas xi ipa sma. Di video kali ini kta akan menemukan jawabannya. Perhatikan diagram rangkaian rlc berikut ini. Guru fisika di sman 2 nubatukan lewoleba, kabupaten lembata, provinsi nusa tenggara timur.

Soal Dan Pembahasan Fisika Tentang Jangka Sorong Fokus Fisika
Soal Dan Pembahasan Fisika Tentang Jangka Sorong Fokus Fisika from 3.bp.blogspot.com
Soal dan jawaban arus bolak balik. Pengertian rangkaian jenis macam rumus contoh soal dan pembahasan adalah arus yang arah dan besarnya setiap saat berubah rubah. Inilah pembahasan selengkapnya mengenai contoh soal arus bolak balik dan jawabannya. Soal un fisika sma 2013 2014 arus bolak balik iammovic. Di video kali ini kta akan menemukan jawabannya. Contoh soal fisika arus bolak balik contoh pidato dan kata. 20+ soal rangkaian arus bolak balik dan jawaban. Sumber tegangan bolak balik dihubungkan dengan osiloskop.

Levně, rychle, spolehlivě a bez stresu na poště.

Soal arus bolak balik beserta jawabannya. Pada umumnya sumber arus listrik searah adalah baterai seperti aki dan elemen volta dan juga panel surya. Hal ini berbeda dengan arus searah (dc), di mana pergerakan muatan hanya dalam satu arah dan konstan. Inilah pembahasan lengkap terkait kumpulan contoh soal arus bolak balik. Dear sahabat bt senang bisa jumpa lagi. Peluru terbenam dalam balok setelah tumbukan dan sistem naik ke suatu ketinggian maksimum 20 cm, kelajuan awal peluru adalah …. Arus bolak balik adalah sebuah pergerakan muatan listrik dengan media yang akan mengubah berubahnya arah secara berkala atau bertahap. Soal un fisika sma 2013 2014 arus bolak balik iammovic. Rangkaian arus bolak balik listrik daya resonansi. Pernyataan berikut ini berhubungan dengan ketentuan tersebut. 10 soal pembahasan gelombang elektromagnetik bagian 1 ǀ pilihan ganda.soal 1 tiga buah kapasitor c 1 0 1μf c 2 0 2μf dan c 3 0 3μf dihubungkan dengan baterai 9 v antara titik a dan b. Sumber tegangan bolak balik dihubungkan dengan osiloskop. Soal dan jawaban arus bolak balik.

Arus bolak balik adalah sebuah pergerakan muatan listrik dengan media yang akan mengubah berubahnya arah secara berkala atau bertahap. Tolong soal un fisika tentang kapasitor pada rangkaian arus bolak balik beserta pembahasan 1 lihat jawaban andikafinardihamza andikafinardihamza jawaban: Soal dan pembahasan fisika bab arus bolak balik. Dear sahabat bt senang bisa jumpa lagi. Arus (dalam ampere) ialah jumlah muatan listrik yang mengalir melewati suatu titik dalam waktu tertentu.

Soal Fisika Listrik Arus Bolak Balik 2 Dan Pembahasan Jawabanku Id
Soal Fisika Listrik Arus Bolak Balik 2 Dan Pembahasan Jawabanku Id from 3.bp.blogspot.com
Arus (dalam ampere) ialah jumlah muatan listrik yang mengalir melewati suatu titik dalam waktu tertentu. Selain dari aki sumber arus searah didapat juga melalui arus bolak balik yang yang dirubah menjadi arus searah yaitu dengan menggunakan penyearah (rectifier). Soal arus bolak balik beserta jawabannya. Levně, rychle, spolehlivě a bez stresu na poště. Berubah antara 0 dan 110 volt. Pada peristiwa tersebut terjadi tumbukan tidak lenting sama sekali sehingga : Soal dan jawaban arus bolak balik. Contoh soal dan pembahasan rangkaian r l c.

Dan di dalam arus listrik terdapat beberapa macam yang pertama arus listrik searah, arus listrik paralel , arus listrik 3 phase, arus listrik bolak balik agar kalian semua mengerti mengenai rumus arus listrik, maka saya akan memberikan contoh soal dan pembahasan nya, tak perlu berlama.

Contoh soal fisika arus bolak balik contoh pidato dan kata. Soal dan pembahasan fisika kelas xii arus bolak balik. Rangkaian arus bolak balik listrik daya resonansi. Arus (dalam ampere) ialah jumlah muatan listrik yang mengalir melewati suatu titik dalam waktu tertentu. Perhatikan gambar di bawah ini! Sebuah generator menghasilkan tegangan sinusoidal dengan persamaan v = 200 sin 200t. Rangkaian arus bolak balik listrik. Listrik arus bolak balik ac rangkaian rlc pembahasan soal dan jawaban un fisika smama 2013. Hal tersebut berbeda dengan arus se arah atau bisa di sebut dengan aliran dc, yang dimana pergerakan muata hanya di dalam satu arah dan itu konstan. Arti dari 220 v ac 60 w. Arus searah biasanya mengalir pada sebuah konduktor. Berubah antara 0 dan 110 volt. Tolong soal un fisika tentang kapasitor pada rangkaian arus bolak balik beserta pembahasan 1 lihat jawaban andikafinardihamza andikafinardihamza jawaban:

Posting Komentar untuk "Soal Un Arus Bolak Balik Beserta Jawabannya / 20 Soal Rangkaian Arus Bolak Balik Dan Jawaban : Porovnejte si ceny od více přepravců."