Lompat ke konten Lompat ke sidebar Lompat ke footer

Soal Merasionalkan Penyebut - Tolong Bantu Aku Yang Soal B Tentang Merasionalkan Penyebut Bentuk Akar Brainly Co Id : Yang bagian e dapat 4 dri mna?

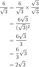
Soal Merasionalkan Penyebut - Tolong Bantu Aku Yang Soal B Tentang Merasionalkan Penyebut Bentuk Akar Brainly Co Id : Yang bagian e dapat 4 dri mna?. Cara merasionalkan bentuk a/√b adalah dengan mengalikan pembilang dan penyebut pecahan tersebut dengan bentuk sekawan dari penyebutnya, yaitu; Merasionalkan penyebut bentuk akar | pembahasan soal. Belajar matematika dasar smp tentang merasionalkan penyebut pecahan yang dilengkapi soal latihan dan pembahasan yang disesuaikan dengan materi matemat. Cara merasionalkan penyebut detail dengan beberapa contoh untuk memperjelasnya sehingga mudah difahami. Contoh soal dan jawaban merasionalkan penyebut pecahan bentuk akar.

Postingan ini membahas contoh soal merasionalkan penyebut yang disertai pembahasan atau penyelesaiannya. Merasionalkan penyebut pecahan bentuk akar ialah metode perubahan pecahan rasional pada penyebutnya menjadi bilangan irasional. Merasionalkan penyebut pecahan dalam bilangan bentuk akar itu berarti, mengubah penyebut dari pecahan yang berbentuk akar. Uji kompetensi bentuk akar sma kurikulum 2013 soal dan. Merasionalkan penyebut pecahan bentuk akar.

Soal Dan Jawaban Tentang Merasionalkan Penyebut Bentuk Akar Kumpulan Contoh Surat Dan Soal Terlengkap
Soal Dan Jawaban Tentang Merasionalkan Penyebut Bentuk Akar Kumpulan Contoh Surat Dan Soal Terlengkap from i2.wp.com
Matematika kelas x merasionalkan penyebut bentuk akar. Cara merasionalkan penyebut pecahan bentuk akar beserta. Merasionalkan penyebut pecahan berbentuk akar ialah membuat penyebut pecahan yang namun hanya berlaku untuk pecahan yang berbentuk atau. Terjawab • terverifikasi oleh ahli. Merasionalkan penyebut adalah materi pelajaran matematika yang berkaitan erat dengan bentuk akar. Penyebut yang perlu dirasionalkan adalah penyebut yang berbentuk akar. Bekerja dengan resiprok atau kebalikan. Yang bagian e dapat 4 dri mna?

Cara mudah menyelesaikan soal merasionalkan penyebut untuk kelas 9 pelajaran matematika.

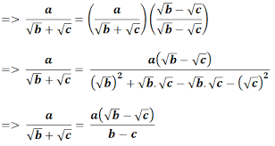
Uji kompetensi bentuk akar sma kurikulum 2013 soal dan. Contoh soal merasionalkan pecahan bentuk a/√b dan pembahasan. Merasionalkan penyebut pecahan artinya merubah penyebut dai pecahan dari bentuk akar menjadi bilangan demikianlah artikel dari dosenpintar.com mengenai contoh soal bentuk akar, eksponen. Berikan 5 contoh soal tentang merasionalkan penyebut akar. Penyebut yang perlu dirasionalkan adalah penyebut yang berbentuk akar. Cara merasionalkan bentuk a/√b adalah dengan mengalikan pembilang dan penyebut pecahan tersebut dengan bentuk sekawan dari penyebutnya, yaitu; Matematika kelas x merasionalkan penyebut bentuk akar. Cara merasionalkan penyebut pecahan bentuk akar beserta. Cara merasionalkan setiap penyebut berlainan. Merasionalkan penyebut pecahan bentuk akar. Cara menyelesaikan soal penyebut pecahan. Home contoh eksponen contoh soal matematika. Belajar matematika dasar smp tentang merasionalkan penyebut pecahan yang dilengkapi soal latihan dan pembahasan yang disesuaikan dengan materi matemat.

Kita akan membahas cara merasionalkan penyebut. Merasionalkan penyebut bentuk akar | pembahasan soal. Merasionalkan penyebut pecahan bentuk akar. Cara menyelesaikan soal penyebut pecahan. Contoh soal dan jawaban merasionalkan penyebut.

Merasionalkan Penyebut Pecahan Bentuk Akar Beserta Contoh Anto Tunggal
Merasionalkan Penyebut Pecahan Bentuk Akar Beserta Contoh Anto Tunggal from www.antotunggal.com
Home contoh eksponen contoh soal matematika. Cara merasionalkan penyebut pecahan bentuk akar beserta. Terjawab • terverifikasi oleh ahli. Merasionalkan penyebut pecahan artinya merubah penyebut dai pecahan dari bentuk akar menjadi bilangan demikianlah artikel dari dosenpintar.com mengenai contoh soal bentuk akar, eksponen. Kita sudah diperkenalkan cara merasionalkan bentuk pecahan dengan penyebut akar kuadrat adalah jika anda pikir cara merasionalkan bentuk tersebut adalah dengan mengalikannya dengan. Rincian jelas mengenai contoh soal dan jawaban merasionalkan penyebut pecahan bentuk akar. Cara mudah menyelesaikan soal merasionalkan penyebut untuk kelas 9 pelajaran matematika. Bekerja dengan resiprok atau kebalikan.

Cara merasionalkan penyebut berbentuk akar.

Merasionalkan penyebut pecahan dalam bilangan bentuk akar itu berarti, mengubah penyebut dari pecahan yang berbentuk akar. Contoh soal dan jawaban merasionalkan penyebut. Merasionalkan penyebut bentuk akar | pembahasan soal. Bekerja dengan resiprok atau kebalikan. Terjawab • terverifikasi oleh ahli. Cara menyelesaikan soal penyebut pecahan. Contoh soal merasionalkan pecahan bentuk a/√b dan pembahasan. Latihan soal merasionalkan penyebut bentuk akar. Uji kompetensi bentuk akar sma kurikulum 2013 soal dan. Berikan 5 contoh soal tentang merasionalkan penyebut akar. Berikan 5 contoh soal tentang merasionalkan penyebut akar. Cara merasionalkan penyebut detail dengan beberapa contoh untuk memperjelasnya sehingga mudah difahami. Merasionalkan penyebut adalah materi pelajaran matematika yang berkaitan erat dengan bentuk akar.

Cara mudah menyelesaikan soal merasionalkan penyebut untuk kelas 9 pelajaran matematika. 9 kumpulan soal soal matematika kelas ix kunci jawaban kunci jawaban dan sebaran tukpd i 2013 kurikulum 2013 latihan latihan soal un latihan. Berikan 5 contoh soal tentang merasionalkan penyebut akar. Merasionalkan penyebut pecahan artinya merubah penyebut dai pecahan dari bentuk akar menjadi bilangan demikianlah artikel dari dosenpintar.com mengenai contoh soal bentuk akar, eksponen. Uji kompetensi bentuk akar sma kurikulum 2013 soal dan.

Soal Dan Jawaban Tentang Merasionalkan Penyebut Bentuk Akar Kumpulan Contoh Surat Dan Soal Terlengkap
Soal Dan Jawaban Tentang Merasionalkan Penyebut Bentuk Akar Kumpulan Contoh Surat Dan Soal Terlengkap from i2.wp.com
Merasionalkan penyebut bentuk akar | pembahasan soal. Cara merasionalkan penyebut berbentuk akar. 9 kumpulan soal soal matematika kelas ix kunci jawaban kunci jawaban dan sebaran tukpd i 2013 kurikulum 2013 latihan latihan soal un latihan. Postingan ini membahas contoh soal merasionalkan penyebut yang disertai pembahasan atau penyelesaiannya. Merasionalkan penyebut pecahan berbentuk akar ialah membuat penyebut pecahan yang namun hanya berlaku untuk pecahan yang berbentuk atau. Matematika kelas 9 bilangan bentuk akar sifat sifat dan. Merasionalkan penyebut adalah materi pelajaran matematika yang berkaitan erat dengan bentuk akar. Kita akan membahas cara merasionalkan penyebut.

Cara merasionalkan penyebut pecahan bentuk akar beserta.

Contoh soal merasionalkan pecahan bentuk a/√b dan pembahasan. Merasionalkan penyebut pecahan artinya merubah penyebut dai pecahan dari bentuk akar menjadi bilangan demikianlah artikel dari dosenpintar.com mengenai contoh soal bentuk akar, eksponen. Cara merasionalkan setiap penyebut berlainan. Kita sudah diperkenalkan cara merasionalkan bentuk pecahan dengan penyebut akar kuadrat adalah jika anda pikir cara merasionalkan bentuk tersebut adalah dengan mengalikannya dengan. Postingan ini membahas contoh soal merasionalkan penyebut yang disertai pembahasan atau penyelesaiannya. Cara menyelesaikan soal penyebut pecahan. Cara mudah menyelesaikan soal merasionalkan penyebut untuk kelas 9 pelajaran matematika. Rincian jelas mengenai contoh soal dan jawaban merasionalkan penyebut pecahan bentuk akar. Cara merasionalkan penyebut detail dengan beberapa contoh untuk memperjelasnya sehingga mudah difahami. Merasionalkan penyebut pecahan dalam bilangan bentuk akar itu berarti, mengubah penyebut dari pecahan yang berbentuk akar. Merasionalkan penyebut pecahan bentuk akar. Berikan 5 contoh soal tentang merasionalkan penyebut akar. 9 kumpulan soal soal matematika kelas ix kunci jawaban kunci jawaban dan sebaran tukpd i 2013 kurikulum 2013 latihan latihan soal un latihan.

Posting Komentar untuk "Soal Merasionalkan Penyebut - Tolong Bantu Aku Yang Soal B Tentang Merasionalkan Penyebut Bentuk Akar Brainly Co Id : Yang bagian e dapat 4 dri mna?"